Posts by Bojan Tunguz
PLEMO Ultra Thin 7000mAh External Battery
I’ve used this charger for a few days, and have had mixed experience with it. It is slick looking and […]
FRiEQ® Hi-Speed Cloth Jacketed USB 2.0 A Male to Micro B Cable (6 Feet)
In the overcrowded field of USB cables and other accessories, this cable clearly stands out. It is well made, effective […]
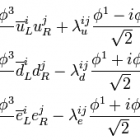
Physics Nobel Prize for 2013
Pretty exciting news this morning in the world of Physics – the 2013 Nobel Physics Prize was awarded to Peter […]
Etronic Quad Port USB Travel Wall Charger
As the number of small electronic devices has greatly proliferated in recent years, a great new trend has emerged: almost […]
ProKit for Samsung Galaxy S3 Screen Glass Lens repair
I got this kit and I was hoping it would come with some clear instructions on how to install the […]
Satechi Universal Dashboard Mount
Ever since I got my (first generation) iPad I was fascinated with the prospect of having it mounted in my […]
TechMatte Microfiber Cleaning Cloth
This is a very effective and affordable solution for cleaning the surface of your smartphone, tablet or even a computer […]
iClever One Touch Windshield Dashboard Universal Car Mount Holder for Smartphones
I’ve got to use this mount for a few weeks, and so far I am really impressed by it. The […]
Etronic Dual USB Car charger
With USB charging becoming the default option for almost all small (and some large) consumer electronics devices, it is becoming […]
New Trent PowerPak 10.0, NT100H: External Battery Charger/ Portable Back Up Power Bank
New Trent has been at the leading edge of innovation in the portable backup power solutions for the mobile devices. […]










